摆线针轮减速机
发表日期:
摘 要:在分析现有摆线轮齿形修形理论的基础上, 根据摆线啮合副的啮合原理和摆线轮的加工实践,采取 A 种修形方式优化组合,对三环摆线针轮行星传动减速器摆线轮齿形进行修形,为摆线针轮啮合副齿廓设计提供了理论基础。 通过Visval和Basic对Sollidworks进行开发,实现了摆线轮模型的参数化设计.
关键词: 摆线针轮行星传动; 三环减速器; 参数化设计
三环摆线针轮行星传动减速器是一种新型的传动机械.它由高速偏心输入轴,低速摆线轮输出轴,针轮行星环板以及箱体等组成三相摆线针轮行星传动系统, 该传动系统输出与输入轴平行配置,通过一个双曲柄机构引导针轮行星环板做圆周平动,既具有平行轴圆柱齿轮减速器的特性,又具有少齿差行星传动特征。三环摆线针轮行星传动的摆线轮齿廓曲线采用短副外摆线的等轴曲线!因此三环摆线针轮行星传动减速器兼具环式减速器和摆线针轮减速器的特点,传动比范围大,运转平稳,传动效率高,承载和过载能力强,且行星轴承的尺寸不受限制,适应性广、质量轻、装拆维修方便。
摆线轮齿形是影响传动效率和质量的重要几何因素,因此摆线轮齿形设计是摆线针轮行星传动设计中的关键部分。
1 摆线轮的标准齿形
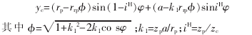
由摆线副共轭齿廓形成的原理可知!与针齿共轭且无啮合间隙的摆线轮齿形取决于针轮齿数 !7"摆线轮齿数 !)"针齿套外圆半径 "+7"针齿中心圆半径"7"偏心距 #$ 如果以摆线轮的几何中心作为直角坐标系的原点!则摆线轮的标准齿形方程如下:
![]()

2 摆线轮的齿形修正
三环摆线针轮行星传动减速器传动时!为了便于装配和拆卸!补偿温升引起的热膨胀和制造误差!摆线轮齿和针齿之间应有一定的齿侧间隙!否则将使啮合摩擦损失增大!齿面易产生胶合#为了使轮齿间得到间隙!需将标准齿形进行修形。
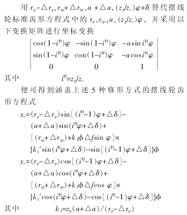
由于三环摆线针轮行星传动输出轴上的摆线轮需要同时与 3块环板上的针轮正确啮合!为了获得理想的齿侧间隙!使 3 个环板针轮与摆线轮受力均匀!传动平稳!根据摆线针轮行星传动的啮合与加工原理!采用移距修正法、等距修正法、转角修正法、齿厚修形法、齿高修形法等 5 种方法的组合来对摆线轮的齿形进行修形。
(1)移距修形 将砂轮中心向工作台中心移动一个距离""7! 使针齿中心圆半径由标准的 "7缩小为 "7:""7!因此!新的短副系数大于标准齿形的短副系数# 由于修形后的轮齿小于标准齿形!与标准针轮啮合!自然会产生啮合间隙#移距修形量为""!减少为正,增加为负。
(2) 等距修形 砂轮半径由标准的 "+7加大至"+7=""+7# 这样磨出的轮齿小于标准齿形的轮齿!与标准针轮啮合时会产生啮合间隙。
(3)齿高修形 机床主轴偏心距由标准的 ! 增加到 ! )!!"这种修形方式使摆线轮齿全高的变化
最显著。
(4)转角修形 磨出标准齿形后 ,调节分齿机构"使摆线轮工件转动一微小角度 !"改变摆线轮在磨削时的初始位置,再进行磨削。 通过减小齿的厚度来得到啮合间隙。
(5)齿厚修形 将摆线轮加工到标准齿廓后 "保持 ",不变" 使砂轮向 ! 个相反的方向横向进给"从而使摆线轮两侧被磨掉一层"使加工出的摆线轮变小# 齿厚修形量为 
取三环摆线针轮行星传动齿形参数 $06 ##" $,6#9"",6:! ;;"% 6* ;;"".,6< ;;" 修形参数( !",6"’=;;" !".,6"’= ;;" !% 6"’= ;;"! 6"’"=" !# 6"’=;;"利用 $31>?& @?130 编程计算模拟"可以得到线轮的标准齿形和修形后齿形"如图 1 所示。理论和实践证明,采用正等距)负移距等 + 种修形方法优化组合"可得到理想的修形结果# 它们可使齿形传动平稳"啮合齿数多"并可得到所需的侧隙和径向间隙"能够补偿制造安装误差和满足润滑要求。

3 摆线轮模型参数化设计
主流三维 ABC 软件 D%&3EF%.G1 功能强大"操作简便"故采用 D%&3EF%.G1 进行摆线轮模型参数化设计# 由于 D%&3EF%.G1 软件不具有函数生成自由曲线的 功 能 " 因 此 " 需 要 应 用 $31>?& @?130 编 程 对D%&3EF%.G1 BHI 进行了二次开发# 应用 $31>?& @?130程 序 设 计 生 成 摆 线 轮 齿 形 曲 线 时 " 首 先 运 行D%&3EF%.G1"新建一个零件"然后选择J工具K/J宏K/J新建K菜单命令"新建宏文件"如 0>.LM’1N,"打开 $@ 编程界面"编写如下主要程序:


程序编写好后" 保存并返回 D%&3EF%.G1# 选择J工具K/J宏K/J运行K菜单命令"运行宏文件 0>.LM’1N,"输入摆线轮齿形参数并确定"即可在 D%&3EF%.G1 中绘制出摆线轮齿形曲线"利用草图实体转换功能即可得到 D%&3EF%.G1 草图# 草图经拉伸基体)拉伸切除等 D%&3EF%.G1 特征操作后"得到摆线轮三维参数化模型"如图 2 所示

4 结语
利用 7"$&89"+:; <=> 函数!通过 -&;?@$ A@;&) 编程实现了在 7"$&89"+:; 进行函数曲线绘制的功能!为 7"2&89"+:; 的实体零件参数化建模的多样性和复杂性提供了草图绘制基础" 采用 -&;?@$ A@;&) 对7"$&89"+:; 进行开发!编程思路简洁!曲线的绘制精度较高!实现了 -A 与7"$&89"+:; 的无逢衔接" 三环摆线针轮行星传动减速器摆线轮参数化设计使摆线轮的设计更加准确!有效地缩短设计周期。


