摆线针轮减速机
发表日期:
摘要:大速比摆线减速机采用复合齿形、小速比采用二齿差齿形,使得减速机的承载能力大大提高。但其摆线轮需多次装卡和加工,本文介绍一种加工摆线轮的一次成形方法。
1 一次成形的实用意义
二齿差对提高小速比承载能力,具有显著效果。但这种齿形需多次加工,推广使用受到严重阻碍。第一次加工齿形的一侧,分度后第二次加工其另一侧,而后重新修整砂轮,调整编心距,加工修缘曲线(参见图1)。利用一次成形方法使二齿差摆脱了多次加工的工艺困境,同时还可消除分度误差。

对于大速比复合齿形,因其由两段曲线构成,故也要两次装卡和加工。利用一次成形方法既加工出齿形的底段,又将超过许用接触应力的齿顶部分磨削掉,用一条替代曲线即能代替原齿形。
有的二齿差,其偏心距大于smm,在摆线磨床上不能加工。而一次成形的替代曲线偏心是两齿差偏心的一半左右,克服了以上困难,扩大了品种范围。
2 摆线轮的原齿形
2.1 拟替代的原齿形表达式
二齿差齿形的一支以及复合齿形的底段都属于原始摆线的等矩曲线,其数学表达式为

而原始摆线的方程就是上式中等矩值zr。一。的情况,


二齿差的摆线轮齿数应当是za。的两倍,其针轮齿数为z、的两倍。
2.2 二齿差齿顶圆半径
二齿差齿形由两支相错半齿的一齿差齿形干涉而成,两支的交叉点形成两齿差的齿顶(如图1的`。点)。为求两齿差齿顶圆半径,我们将图1的坐标系顺时针转过二(/Zza。)角,则齿顶点在新坐标系中的横坐标为O,而二齿差齿顶圆半径eRo恰好是。。的纵坐标。因此有

其中必应当满足条件式(在新坐标中齿顶的横坐标等于零)

3 替代曲线及其计算方法
二齿差或复合齿形皆由两三条曲线围成,我们试图找一条曲线替代之。这条替代曲线只能是摆线等矩曲线,因为摆线磨床只能加工这种曲线齿形。因此替代曲线的方程同式(1)在形式上相同,但各个参数在数值上有所区别

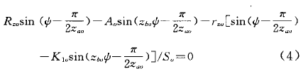
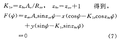
式中R:、A、r二、z。、z,是替代曲线齿形的加工测量参数;r二是砂轮刃圆半径,A是磨床偏心,Rz是砂轮刃圆中心到所加工齿轮中心的距离;za为摆线齿轮的齿数,而z。一z。+1;K,是摆线的短幅系数,Kl~z。·A/R二;甲是齿形参数。
为计算替代曲线诸参数,必须解决下面问题,
(1)替代曲线应在图1的IM段与原曲线相重合,或者是在这一段的各对应点的法向距离控制在允许的偏差之内。由此需计算两条摆线等矩曲线的法向偏差。
(2)给定任意一组R二、A、r二、z。、z*参数,则确定一条曲线,这些参数的不同组合将得出无
数条曲线。为求得符合上述要求的替代曲线的一组参数,故需界定参数范围。
3.1 法向偏差的计算
见图2,计算替代曲线I上某点Mx(,户原齿形的法向距离。即在原齿形I。上寻找一点从,使曲线I。在Mo点处的法线通过M点,而后计算M、从两点的直线距离。由于I。的方程(1)比较复杂,故将这个间题转化为在摆线等矩线I。的原始摆线曲线乙上,寻找一点斌,使式在从处的法线通过M点。由于I。是式的法向等距曲线,所以通过M点和从点的法线与通过M和冠的法线是同一条法线,且冠所对应的齿形参数必,就是Mo所对应的必。由于原始摆线式的方程(2)比起式(1)简单得多,故问题得以简化。

M点到原始摆线上任意点的距离
![]()
而M点到原始摆线式的法向距离为S或岁的极小值,S或岁取极小值的条件是它们所对的必的导数为o。下面求夕对必的导数,
![]()
利用式(2),求出式和又对沪的导数,并连同式和又的表达式代入上式化简,

经整理化简得,

两端除以Rz。,并利用,

从上式中解得必,代入式(1),即得到原齿形I。上的Mo点坐标(x。、y。),于是Mx(,y)点到原曲线的法向距离d,可由下式计算:
上式是一个三角函数超越方程,可利用牛顿迭代法求解。迭代公式是,


计算方法是设定沪的初值,代入式(8)的右端得出新的必值,作为第一次迭代结果。然后将新的沪值再代入式(8)的右端,又得出一个新的必值。如此往复迭代下去,直到式(7)的值近似于。为止。将最后必值作为式(7)的解。
3.2 替代曲线参数取值范围的界定
为减少计算工作量,故对替代曲线参数范围作界定。
3.2.IA和z。替代曲线与原齿形曲线应在齿数上彼此相等,因此对大速比复合齿形z。-za。,而二齿差齿形的z二一Zza。。
两曲线的偏心应符合

3.2.ZR二和二二的关系,经分析是直线关系。在分析之前先引入两个量D`和D`。D。称为齿形修顶的修缘量,是原曲线的齿顶圆半径减去替代曲线齿顶圆半径的差值即



故Rz一r二的范围是由斜直线束组成的狭长条,如图3所示。

由计算经验得知,磨床砂轮刃圆半径r二与针齿套半径有如下关系,
![]()
此式对应于图3中平行于纵轴的线段a一a’右侧的区域。
磨床砂轮刃圆中心到摆线轮中心的距离R二由磨床的应用范围决定,即
![]()
上式相当于图3中平行于横轴的直线b一bl以下的区域。
综上所述,图3中由3条直线围成的梯形扁条,界定了R二和r二的取值范围。
我们在选取合理的R二、A、r:参数同时又引进了D己和D,两个参数,这5个量中有3个是独立的。在程序中选A、r二和D,作为变量,其余的R二和D`可通过以上公式计算出来,程序框图见图4。


4 应用实例
在n号减速机i一87大速比设计中,选定设计参数为凡一279.84,A。一2,zr。一13。齿形两侧各有一处干涉区,位置在齿形啮合相位角500以下的齿底和齿侧,其齿面接触应力和弯曲应力等均合格,而大于500的齿顶部分,齿面接触应力超出许用应力值。一种加工方案是用另一段曲线将齿顶部分磨削掉,但需要再一次装卡和加工,因此采用上述方法一次成形。利用上述的数学模型编程计算,借助计算机得出如下加工和测量参数,
砂轮刃圆半径r二一12·7mm
磨床偏心八一.190
齿轮齿数z、一87
砂轮刃圆中心与齿轮中J魄巨R二一279·45mm
图5绘出了原干涉齿形与一次成形齿形。

在齿形的IM段,两曲线各点的法向偏差小于或等于0.02mm;在齿顶部分,替代曲线脱开原干涉齿形,即用替代曲线几乎无误差地加工出齿底和齿侧,又将原干涉齿形应力超标的齿顶部分消除了。
原齿形和替代齿形的齿顶圆半径分别为,
R,。=279.83(mm)
R。=279.65(mm)
修缘量是它们的差值,
D。=0.1smm
替代曲线顶根距
L=533.SOmm
r二、A、z。是磨床加工调整参数,L是加工测量参数。


